南京航空航天大学国际前沿科学研究院郭万林教授和赵晓明教授团队继2024年7月开发气相氟化技术实现大面积钙钛矿太阳能电池的均匀稳定化后,于2025年5月30日再次在《science》发表最新成果“vapor-assisted surface reconstruction enables outdoor-stable perovskite solar modules”,开发了更绿色、更具经济性的气相辅助表面重构技术,抑制了产业级钙钛矿模组在户外环境下的不可逆退化,在30 cm × 30 cm钙钛矿模组中首次实现与商用晶硅太阳能电池相当的户外运行稳定性。
两项研究形成技术闭环,系统性攻克钙钛矿光伏产业化进程中“实验室-产线-户外”全链条稳定性难题,相关技术已申请专利。


人类正面临气候变暖以及能源和水资源短缺的严峻挑战。因此,探索和利用太阳光热的新途径,提升其利用能力,已成为确保人类生存和实现可持续发展的必经之路。郭万林教授团队提出了一种通过功能材料与水的相互作用,将水中蕴藏的能量直接转换为电能的水伏效应,开创了利用太阳光热的新方法。近期,该团队在水伏光伏结合领域积极探索,针对钙钛矿电池研究向商业化应用的大面积长效稳定要求的挑战,开发了气相后处理法,使制备大面积高质量的钙钛矿电池模组成为可能,取得了里程碑式的突破。
单晶硅太阳能电池是目前主要的太阳能产品,由沙子制成晶硅需要1200摄氏度的高温等复杂制造过程,也因此特别稳定。金属卤化物钙钛矿太阳能电池制备可在约140摄氏度以下温度制备,但主要使用旋涂、刮涂等工艺和液相法稳定化处理。这些制备工艺制备高质量小面积的钙钛矿太阳能电池相对容易,小面积(<0.1 cm2)金属卤化物钙钛矿太阳能电池的光电转换效率已经达到27%,与商用硅电池相当。然而,它们的长期运行稳定性尚未满足光伏产品的要求,尤其是对产业级大面积的钙钛矿模组来说,其寿命远低于商用晶硅太阳能电池,钙钛矿太阳能电池从实验室走向市场仍任重道远。
该团队赵晓明研究组在团队前序的研究中(science 385, 433-438, 2024),开发了一种气相氟化技术实现了大面积钙钛矿模组的室内长期稳定运行。该技术在产线中也能显著提升模组寿命,但在转化验证时却碰到了新的难题:针对更大尺寸的钙钛矿薄膜处理,比如30 cm × 30 cm产业级钙钛矿薄膜,需要在工业产线中引入专用氟化反应器,这将显著增加生产成本,降低技术方案的经济效益。这促使团队提出新挑战:能否开发更绿色、后处理更温和、成本更低的大面积模组稳定化方案?
于是,带着进一步优化技术方案的目的,团队进行了深入的研究,并在户外实测中观察到了一个独特现象:钙钛矿模组在昼夜循环中呈现出有趣的“可逆衰减”行为,即模组在白天工作时会出现性能衰退,但经过夜晚的“休息”又能恢复部分性能。继续研究发现,这种特殊行为与钙钛矿薄膜中碘离子的可逆/不可逆迁移行为密切相关——可逆迁移发生在钙钛矿层内,所引起的性能衰减具有夜间自修复特性,而不可逆迁移涉及离子向电荷传输层或电极的逃逸,将导致器件性能的永久性衰退。
针对上述问题,团队开发出更绿色、更具经济性的“气相辅助表面重构”技术,相较于前代气相氟化技术,新方法无需专用设备,仅通过气相沉积多齿配体即可实现钙钛矿表面结构的原位重构,隔离缺陷富集的表面单元,实现离子不可逆迁移的抑制。这项创新技术不仅阐明了不可逆离子迁移是导致器件性能永久衰退的本质原因,更通过抑制该过程首次在钙钛矿电池上实现了与硅太阳能电池比肩的户外稳定性,同时工艺成本较前代技术大幅下降,且完全兼容现有光伏产线设备体系,为钙钛矿光伏技术的规模化应用扫清了关键障碍,标志着该领域从实验室创新向产业化落地迈出了里程碑式的一步。

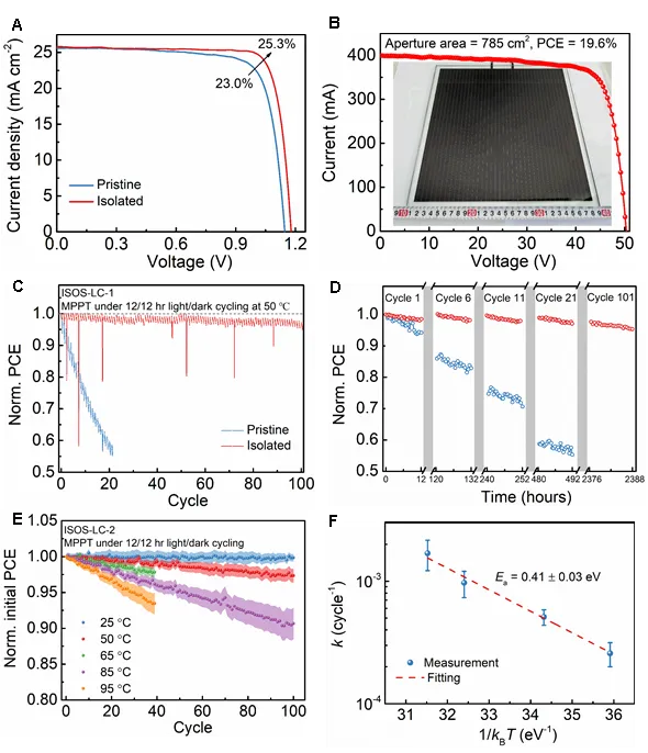
经过气相辅助表面重构的太阳能电池实现了更高的光电转换效率和稳定性。0.16cm2单元电池和785cm2太阳能模组的pce分别为25.3%和19.6%。光/暗循环加速老化测试结果表明,模组的预计t80寿命(效率下降至初始效率的80%所需的时间)达到2478次循环(等效于25℃环境下循环运行超过6.7年),为报道中最具稳定性的钙钛矿模组。

为了进一步考察钙钛矿模组的户外稳定性,在高温高湿的夏季将钙钛矿模组和商用晶硅太阳能电池一起对比,发现产业级钙钛矿模组展示出与商用晶硅太阳能电池相当的稳定性。并且由于钙钛矿电池较低的温度系数,其在高温条件下的功率保持率甚至优于晶硅太阳能电池,证明了钙钛矿太阳能电池实际应用的可能性。

为了探究稳定性提升的背后机制,通过在光/暗循环条件下分析钙钛矿薄膜表面形貌演变和元素分布情况,发现经过气相辅助表面重构的薄膜展现出更强的可逆恢复行为,证实气相辅助表面重构有效阻断了碘离子向电子传输层的不可逆迁移路径,维持了界面结构的均匀性与致密性,从而显著提升了材料稳定性。

① 凡本站注明“稿件来源:中国教育在线”的所有文字、图片和音视频稿件,kok登录的版权均属本网所有,任何媒体、网站或个人未经本网协议授权不得转载、链接、转贴或以其他方式复制发表。已经本站协议授权的媒体、网站,在下载使用时必须注明“稿件来源:中国教育在线”,违者本站将依法追究责任。
② 本站注明稿件来源为其他媒体的文/图等稿件均为转载稿,本站转载出于非商业性的教育和科研之目的,并不意味着赞同其观点或证实其内容的真实性。如转载稿涉及kok登录的版权等问题,请作者在两周内速来电或来函联系。


中国教育在线